Research Progress
High gain and high energy rod Nd:glass regenerative amplifier, which is quite compact and can provide high-optical signal-to-noise ratio and excellent stability, has been actively developed for large-scale laser facility dedicated to inertial conf...2019-08-13
Lanthanide ion (Ln3+)-doped oxyfluoride glass-ceramics have garnered considerable attention recently, owing to their wide and promising application in solid-state lasers, optical amplifiers and optical displays.2019-07-19
In past decades, ultrafast fiber lasers have attracted considerable attention due to their applications in fundamental research, biomedicine and industry. 2019-07-16
Layered transition metal dichalcogenides (TMDCs) exhibit unique nonlinear optical properties, including high-order harmonic generation, ultrafast saturable absorption, optical limiting and multi-photon absorption. 2019-07-08
Based on the strong phase modulation introduced by a pre-characterized wave modulator, coherent modulation imaging (CMI) is an alternative approach for achieving single-shot phase imaging with a fast convergence speed. 2019-07-02
The vortex beam with spiral wave front distribution, carrying the orbital angular momentum, is equivalent to adding torque to the beam. It is beneficial in a wide variety of such applications as the micro-particle manipulation, optical communicati...2019-06-26
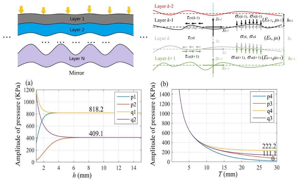
Optical smoothing is a very effective method to restrict mid-to-high spatial frequency errors generated by computer controlled sub-aperture polishing technologies. According to Preston equation, pressure distribution is the key factor to describe ...2019-06-27
With the continuous development of the ultra-intense ultra-short laser , the invention of chirped pulse amplification ( CPA ) technology has greatly promoted the breakthrough of frontier science .Researchers used laser induced ionization theory to...2019-06-25
Two-photon absorption (TPA) and two-photon luminescence (TPL) in two-dimensional (2D) transition metal dichalcogenides (TMDs) show great potentials in applications of optical limiting, optical signal processing, two-photon microscopy and light fre...2019-06-18
Yb3+-doped silica fibers have been one of the most important gain mediums for high-power laser applications due to their high efficiency and good beam quality.2019-06-12
Newsroom