Recently, Shanghai Institute of Optics and Fine Mechanics, Chinese Academy of Sciences, and the Key Laboratory of Quantum Optics have made progress in the research of networked fiber-optic time-frequency transmission which is published in Opt. Express on Apr. 12, 2021.
In this research, the research team combined ultrastable time-frequency transfer methods and data layer approaches. Then, they proposed a novel scheme to transmit time-frequency signals in gigabit ethernet networks over fiber links with the same wavelength in one direction. This novel scheme has two merits that one is compatible with Ethernet protocol, the other is transfer ultrastable frequency signals at hydrogen-maser-level stability.
In recent years, the networked fiber-optic time-frequency transmission technology has developed rapidly. The WR (white rabbit) project is a fully deterministic Ethernet-based network that can synchronize over 1000 nodes with sub-ns time accuracy, but the frequency instabilities of the WR is 2E-11 at τ=1s due to electronic components implementation.
In order to solve these problems, the research team demonstrated the new optical pulse amplitude modulation (PAM) scheme where joint ultrastable time-frequency and gigabit ethernet data transfer with the same laser wavelength was realized.
This work was supported by National Key Research and Development Program of China; Strategic Priority Research Program, Chinese Academy of Sciences; National Natural Science Foundation of China; Youth Innovation Promotion Association of the Chinese Academy of Sciences.

Fig. 1. Experimental setup of time-frequency and Gigabit Ethernet data transfer. (Image by SIOM)

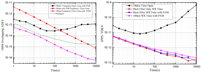
Fig. 2. Measured 100MHz Overlapping Allan deviation (ADEV) (b) Measured 1PPS time deviation (TDEV). (Image by SIOM)
Article website:
https://doi.org/10.1364/OE.422727
Contact:
WU Xiufeng
General Administrative Office
Shanghai Institute of Optics and Fine Mechanics, CAS
Email: xfwu@siom.ac.cn
Web: http://english.siom.cas.cn/